•  Home
  •  Topics 
    •  Solar Physics
    •  Planetary atmospheres
    •  Stellar environments
    •  Star-planet interactions
    •  Stellar physics
    •  Star formation
    •  Interstellar medium
    •  Supernovae
    •  Galactic dynamics
    •  Cosmology
  •  About Galactica
  •  Publish my projects
  •  Share massive data
  •  Log in
Extreme Horizon

Extreme Horizon

Resolving galactic disks in their cosmic environment

Orion

Orion

Molecular cloud fragmentation and evolution, formation of prestellar cores

Fragdisk

Fragdisk

Fragmentation of self-gravitating disks

Synthetic disk populations

Synthetic disk populations

Resolving protoplanetary disks in massive protostellar clumps

Wind of HD189733

Wind of HD189733

Unveiling the magnetic link between stars and planets

Dusty collapses

Dusty collapses

Understanding the dynamics of dust during the protostellar collapse

Previous Next
  1. Home
  2. Star formation
  3. Massive core
  4. SubA (Papers II and III)

Acknowledgement

Project acknowledgement

You may acknowledge this project by citing the associated papers Commer\c{c}on et al. A&A 658, A52 (2022), Mignon-Risse et al. A&A 652, A69 (2021), and Mignon-Risse et al. A&A 656, A85 (2021). This work can be cited with bibtex with
@ARTICLE{2022A&A...658A..52C,
       author = {{Commer{\c{c}}on}, B. and {Gonz{'a}lez}, M. and {Mignon-Risse}, R. and {Hennebelle}, P. and {Vaytet}, N.},
        title = "{Discs and outflows in the early phases of massive star formation: Influence of magnetic fields and ambipolar diffusion}",
      journal = {ap},
     keywords = {hydrodynamics, magnetohydrodynamics (MHD), radiative transfer, stars: formation, methods: numerical, stars: massive, Astrophysics - Solar and Stellar Astrophysics, Astrophysics - Astrophysics of Galaxies},
         year = 2022,
        month = feb,
       volume = {658},
          eid = {A52},
        pages = {A52},
          doi = {10.1051/0004-6361/202037479},
archivePrefix = {arXiv},
       eprint = {2109.10580},
 primaryClass = {astro-ph.SR},
       adsurl = {https://ui.adsabs.harvard.edu/abs/2022A&A...658A..52C},
      adsnote = {Provided by the SAO/NASA Astrophysics Data System}
}

@ARTICLE{2021A&A...652A..69M,
       author = {{Mignon-Risse}, R. and {Gonz{'a}lez}, M. and {Commer{\c{c}}on}, B. and {Rosdahl}, J.},
        title = "{Collapse of turbulent massive cores with ambipolar diffusion and hybrid radiative transfer. I. Accretion and multiplicity}",
      journal = {ap},
     keywords = {accretion, accretion disks, stars: formation, magnetohydrodynamics (MHD), turbulence, stars: massive, methods: numerical, Astrophysics - Solar and Stellar Astrophysics, Astrophysics - Astrophysics of Galaxies},
         year = 2021,
        month = aug,
       volume = {652},
          eid = {A69},
        pages = {A69},
          doi = {10.1051/0004-6361/202140617},
archivePrefix = {arXiv},
       eprint = {2105.14543},
 primaryClass = {astro-ph.SR},
       adsurl = {https://ui.adsabs.harvard.edu/abs/2021A&A...652A..69M},
      adsnote = {Provided by the SAO/NASA Astrophysics Data System}
}

@ARTICLE{2021A&A...656A..85M,
       author = {{Mignon-Risse}, R. and {Gonz{'a}lez}, M. and {Commer{\c{c}}on}, B.},
        title = "{Collapse of turbulent massive cores with ambipolar diffusion and hybrid radiative transfer. II. Outflows}",
      journal = {ap},
     keywords = {stars: formation, stars: massive, stars: protostars, radiative transfer, magnetohydrodynamics (MHD), methods: numerical, Astrophysics - Solar and Stellar Astrophysics, Astrophysics - Astrophysics of Galaxies},
         year = 2021,
        month = dec,
       volume = {656},
          eid = {A85},
        pages = {A85},
          doi = {10.1051/0004-6361/202141648},
archivePrefix = {arXiv},
       eprint = {2109.11241},
 primaryClass = {astro-ph.SR},
       adsurl = {https://ui.adsabs.harvard.edu/abs/2021A&A...656A..85M},
      adsnote = {Provided by the SAO/NASA Astrophysics Data System}
}
        

This work was supported by the CNRS "Programme National de Physique Stellaire" (PNPS). The numerical simulations were produced on the CEA machine Alfven (founded by DIM ACAV+) and using HPC resources from GENCI-CINES (Grants 2018-047247, and A0080407247). The visualisation of RAMSES data has been done with the OSYRIS python package.


Galactica database acknowledgement

If you use it in your own work, you may acknowledge the origin of the data obtained on the Galactica database like so:

This work reused datasets available on the Galactica simulations database
(http://www.galactica-simulations.eu)
                            
Cite me
Matthias GONZÁLEZ  

SubA (Papers II and III)

  • Summary
  • Parameters
  • Algorithms
  • Applied physics
  • Results
    • Time evolution
  • Snapshots
    • t=$38.492 \; \textrm{kyr}$
    • t=$42.052 \; \textrm{kyr}$
    • t=$44.889 \; \textrm{kyr}$
    • t=$47.574 \; \textrm{kyr}$
    • t=$50.492 \; \textrm{kyr}$
    • t=$53.044 \; \textrm{kyr}$
    • t=$55.223 \; \textrm{kyr}$
    • t=$57.397 \; \textrm{kyr}$
    • t=$59.198 \; \textrm{kyr}$
    • t=$60.94 \; \textrm{kyr}$
    • t=$62.644 \; \textrm{kyr}$
    • t=$64.243 \; \textrm{kyr}$
    • t=$66.825 \; \textrm{kyr}$

Summary

SubAlfvenic simulation with Mach number of 0.5 and Alfvenic Mach number of 0.57

Simulated using RAMSES 3

Parameters

Parameter Value
cont 100. !density contrast
mass_c 100. !in solar mass
pic
rap 1. !axis ratio
ff_rt 0.007178!freefall time/rotation time
ff_sct 0.325 !freefall time/sound crossing time
poisson
hydro
pressure_fix
levelmin $5$
riemann2d 'hlld'
sink
jeans_refine 30*12.
nexpand 30*4
gravity_type $0$
slope_type $1$
m_refine 20*1.e20
riemann 'hlld'
nsubcycle 4*1,35*2
levelmax $15$
courant_factor $0.8$
gamma $1.66667$
Show all parameters

Algorithms

Harten-Lax-van Leer-Contact Riemann solver
HLLC-LLF Switch

Applied physics

Self-gravity
self-gravity included
Magnetohydrodynamics
Non ideal (ambipolar diffusion) MHD included
Radiative transfer
FLD and hybrid radiative transfer for stellar irradiation feedback included

Results

'Time evolution' generic result datafile download

Select the datafiles you wish to export from this generic result (a zip file containing the requested datafiles will be prepared) :

Time evolution

Datafiles:
TXT: Evolution with time of the disc, outflow, and sink masses
  • ASCII 
IMG: Evolution with time of the disc, outflow, and sink masses
  • PNG 

Snapshots

' output 00050' snapshot datafile download

Select the datafiles you wish to export from this snapshot (a zip file containing the requested datafiles will be prepared) :

output 00050 (t=$38.492 \; \textrm{kyr}$)

Sink properties: M = 3.7 Msun - age = 9.9 kyr
Datafiles:
IMG: column density - B - zoom 3
  • PNG 
IMG: density slice - - zoom 1
  • PNG 
IMG: density slice - B - zoom 1
  • PNG 
IMG: density slice - - zoom 2
  • PNG 
IMG: density slice - B - zoom 2
  • PNG 
IMG: density slice - - zoom 3
  • PNG 
IMG: density slice - B - zoom 3
  • PNG 
IMG: plasma beta slice
  • PNG 
IMG: T-rho histogram
  • PNG 
IMG: outflow density slice with velocity
  • PNG 
IMG: outflow density slice with magnetic field
  • PNG 
IMG: B-rho and etaAD-rho histograms
  • PNG 

' output 00100' snapshot datafile download

Select the datafiles you wish to export from this snapshot (a zip file containing the requested datafiles will be prepared) :

output 00100 (t=$42.052 \; \textrm{kyr}$)

Sink properties: M = 4.2 Msun - age = 13.5 kyr
Datafiles:
IMG: column density - B - zoom 3
  • PNG 
IMG: density slice - - zoom 1
  • PNG 
IMG: density slice - B - zoom 1
  • PNG 
IMG: density slice - - zoom 2
  • PNG 
IMG: density slice - B - zoom 2
  • PNG 
IMG: density slice - - zoom 3
  • PNG 
IMG: density slice - B - zoom 3
  • PNG 
IMG: plasma beta slice
  • PNG 
IMG: T-rho histogram
  • PNG 
IMG: outflow density slice with velocity
  • PNG 
IMG: outflow density slice with magnetic field
  • PNG 
IMG: B-rho and etaAD-rho histograms
  • PNG 

' output 00150' snapshot datafile download

Select the datafiles you wish to export from this snapshot (a zip file containing the requested datafiles will be prepared) :

output 00150 (t=$44.889 \; \textrm{kyr}$)

Sink properties: M = 4.8 Msun - age = 16.3 kyr
Datafiles:
IMG: column density - B - zoom 2
  • PNG 
IMG: density slice - - zoom 1
  • PNG 
IMG: density slice - B - zoom 1
  • PNG 
IMG: density slice - - zoom 2
  • PNG 
IMG: density slice - B - zoom 2
  • PNG 
IMG: density slice - - zoom 3
  • PNG 
IMG: density slice - B - zoom 3
  • PNG 
IMG: plasma beta slice
  • PNG 
IMG: T-rho histogram
  • PNG 
IMG: outflow density slice with velocity
  • PNG 
IMG: outflow density slice with magnetic field
  • PNG 
IMG: B-rho and etaAD-rho histograms
  • PNG 

' output 00200' snapshot datafile download

Select the datafiles you wish to export from this snapshot (a zip file containing the requested datafiles will be prepared) :

output 00200 (t=$47.574 \; \textrm{kyr}$)

Sink properties: M = 5.4 Msun - age = 19.0 kyr
Datafiles:
IMG: column density - B - zoom 2
  • PNG 
IMG: density slice - - zoom 1
  • PNG 
IMG: density slice - B - zoom 1
  • PNG 
IMG: density slice - - zoom 2
  • PNG 
IMG: density slice - B - zoom 2
  • PNG 
IMG: density slice - - zoom 3
  • PNG 
IMG: density slice - B - zoom 3
  • PNG 
IMG: plasma beta slice
  • PNG 
IMG: T-rho histogram
  • PNG 
IMG: outflow density slice with velocity
  • PNG 
IMG: outflow density slice with magnetic field
  • PNG 
IMG: B-rho and etaAD-rho histograms
  • PNG 

' output 00250' snapshot datafile download

Select the datafiles you wish to export from this snapshot (a zip file containing the requested datafiles will be prepared) :

output 00250 (t=$50.492 \; \textrm{kyr}$)

Sink properties: M = 6.0 Msun - age = 21.9 kyr
Datafiles:
IMG: density slice - - zoom 1
  • PNG 
IMG: density slice - B - zoom 1
  • PNG 
IMG: density slice - - zoom 2
  • PNG 
IMG: density slice - B - zoom 2
  • PNG 
IMG: density slice - - zoom 3
  • PNG 
IMG: density slice - B - zoom 3
  • PNG 
IMG: plasma beta slice
  • PNG 
IMG: T-rho histogram
  • PNG 
IMG: outflow density slice with velocity
  • PNG 
IMG: outflow density slice with magnetic field
  • PNG 
IMG: B-rho and etaAD-rho histograms
  • PNG 

' output 00300' snapshot datafile download

Select the datafiles you wish to export from this snapshot (a zip file containing the requested datafiles will be prepared) :

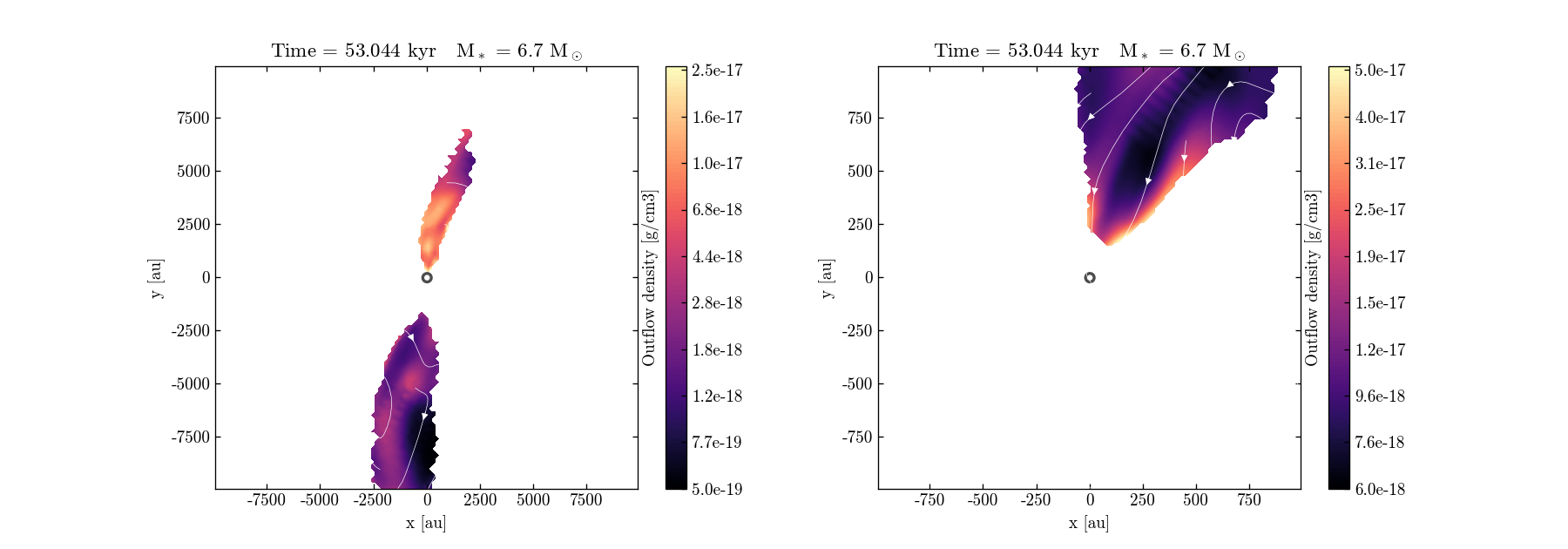
output 00300 (t=$53.044 \; \textrm{kyr}$)

Sink properties: M = 6.7 Msun - age = 24.5 kyr
Datafiles:
IMG: density slice - - zoom 1
  • PNG 
IMG: density slice - B - zoom 1
  • PNG 
IMG: density slice - - zoom 2
  • PNG 
IMG: density slice - B - zoom 2
  • PNG 
IMG: density slice - - zoom 3
  • PNG 
IMG: density slice - B - zoom 3
  • PNG 
IMG: plasma beta slice
  • PNG 
IMG: T-rho histogram
  • PNG 
IMG: outflow density slice with velocity
  • PNG 
IMG: outflow density slice with magnetic field
  • PNG 
IMG: B-rho and etaAD-rho histograms
  • PNG 

' output 00350' snapshot datafile download

Select the datafiles you wish to export from this snapshot (a zip file containing the requested datafiles will be prepared) :

output 00350 (t=$55.223 \; \textrm{kyr}$)

Sink properties: M = 7.3 Msun - age = 26.6 kyr
Datafiles:
IMG: density slice - - zoom 1
  • PNG 
IMG: density slice - B - zoom 1
  • PNG 
IMG: density slice - - zoom 2
  • PNG 
IMG: density slice - B - zoom 2
  • PNG 
IMG: density slice - - zoom 3
  • PNG 
IMG: density slice - B - zoom 3
  • PNG 
IMG: plasma beta slice
  • PNG 
IMG: T-rho histogram
  • PNG 
IMG: outflow density slice with velocity
  • PNG 
IMG: outflow density slice with magnetic field
  • PNG 
IMG: B-rho and etaAD-rho histograms
  • PNG 

' output 00400' snapshot datafile download

Select the datafiles you wish to export from this snapshot (a zip file containing the requested datafiles will be prepared) :

output 00400 (t=$57.397 \; \textrm{kyr}$)

Sink properties: M = 7.9 Msun - age = 28.8 kyr
Datafiles:
IMG: density slice - - zoom 1
  • PNG 
IMG: density slice - B - zoom 1
  • PNG 
IMG: density slice - - zoom 2
  • PNG 
IMG: density slice - B - zoom 2
  • PNG 
IMG: density slice - - zoom 3
  • PNG 
IMG: density slice - B - zoom 3
  • PNG 
IMG: plasma beta slice
  • PNG 
IMG: outflow density slice with velocity
  • PNG 
IMG: outflow density slice with magnetic field
  • PNG 
IMG: B-rho and etaAD-rho histograms
  • PNG 

' output 00450' snapshot datafile download

Select the datafiles you wish to export from this snapshot (a zip file containing the requested datafiles will be prepared) :

output 00450 (t=$59.198 \; \textrm{kyr}$)

Sink properties: M = 8.4 Msun - age = 30.6 kyr
Datafiles:
IMG: density slice - - zoom 1
  • PNG 
IMG: density slice - B - zoom 1
  • PNG 
IMG: density slice - - zoom 2
  • PNG 
IMG: density slice - B - zoom 2
  • PNG 
IMG: density slice - - zoom 3
  • PNG 
IMG: density slice - B - zoom 3
  • PNG 
IMG: plasma beta slice
  • PNG 
IMG: T-rho histogram
  • PNG 
IMG: outflow density slice with velocity
  • PNG 
IMG: outflow density slice with magnetic field
  • PNG 
IMG: B-rho and etaAD-rho histograms
  • PNG 

' output 00500' snapshot datafile download

Select the datafiles you wish to export from this snapshot (a zip file containing the requested datafiles will be prepared) :

output 00500 (t=$60.94 \; \textrm{kyr}$)

Sink properties: M = 9.5 Msun - age = 32.3 kyr
Datafiles:
IMG: density slice - - zoom 1
  • PNG 
IMG: density slice - B - zoom 1
  • PNG 
IMG: density slice - - zoom 2
  • PNG 
IMG: density slice - B - zoom 2
  • PNG 
IMG: density slice - - zoom 3
  • PNG 
IMG: density slice - B - zoom 3
  • PNG 
IMG: plasma beta slice
  • PNG 
IMG: T-rho histogram
  • PNG 
IMG: outflow density slice with velocity
  • PNG 
IMG: outflow density slice with magnetic field
  • PNG 
IMG: B-rho and etaAD-rho histograms
  • PNG 

' output 00550' snapshot datafile download

Select the datafiles you wish to export from this snapshot (a zip file containing the requested datafiles will be prepared) :

output 00550 (t=$62.644 \; \textrm{kyr}$)

Sink properties: M = 10.0 Msun - age = 34.1 kyr
Datafiles:
IMG: density slice - - zoom 1
  • PNG 
IMG: density slice - B - zoom 1
  • PNG 
IMG: density slice - - zoom 2
  • PNG 
IMG: density slice - B - zoom 2
  • PNG 
IMG: density slice - - zoom 3
  • PNG 
IMG: density slice - B - zoom 3
  • PNG 
IMG: plasma beta slice
  • PNG 
IMG: T-rho histogram
  • PNG 
IMG: outflow density slice with velocity
  • PNG 
IMG: outflow density slice with magnetic field
  • PNG 
IMG: B-rho and etaAD-rho histograms
  • PNG 

' output 00600' snapshot datafile download

Select the datafiles you wish to export from this snapshot (a zip file containing the requested datafiles will be prepared) :

output 00600 (t=$64.243 \; \textrm{kyr}$)

Sink properties: M = 10.2 Msun - age = 35.6 kyr
Datafiles:
IMG: density slice - - zoom 1
  • PNG 
IMG: density slice - B - zoom 1
  • PNG 
IMG: density slice - - zoom 2
  • PNG 
IMG: density slice - B - zoom 2
  • PNG 
IMG: density slice - - zoom 3
  • PNG 
IMG: density slice - B - zoom 3
  • PNG 
IMG: plasma beta slice
  • PNG 
IMG: T-rho histogram
  • PNG 
IMG: outflow density slice with velocity
  • PNG 
IMG: outflow density slice with magnetic field
  • PNG 
IMG: B-rho and etaAD-rho histograms
  • PNG 

' output 00650' snapshot datafile download

Select the datafiles you wish to export from this snapshot (a zip file containing the requested datafiles will be prepared) :

output 00650 (t=$66.825 \; \textrm{kyr}$)

Sink properties: M = 11.2 Msun - age = 38.2 kyr
Datafiles:
IMG: density slice - - zoom 1
  • PNG 
IMG: density slice - B - zoom 1
  • PNG 
IMG: density slice - - zoom 2
  • PNG 
IMG: density slice - B - zoom 2
  • PNG 
IMG: density slice - - zoom 3
  • PNG 
IMG: density slice - B - zoom 3
  • PNG 
IMG: plasma beta slice
  • PNG 
IMG: T-rho histogram
  • PNG 
IMG: outflow density slice with velocity
  • PNG 
IMG: outflow density slice with magnetic field
  • PNG 
IMG: B-rho and etaAD-rho histograms
  • PNG 

 Go to top

This material is Open Data